潮人论坛-潮人论坛官方最新禁忌入口页

潮人论坛 学生工作网站

潮人论坛-潮人论坛官方最新禁忌入口页

潮人论坛 学生工作网站

潮人论坛-潮人论坛官方最新禁忌入口页

新闻动态

新闻动态

所在位置: 主页 » 新版学生工作» 新闻动态

学业辅导室|“北弦书斋” 系列活动(十九)
发布时间:2024-11-24     浏览量:

原文信息

Spenkuch, J. L., & Toniatti, D. (2018). Political advertising and election results. The Quarterly Journal of Economics, 133(4), 1981-2036.

作者信息:

Jörg L. Spenkuch

Associate Professor, 2013-Present

Northwestern University

FIELDS OF INTEREST:

Political economy, Applied microeconomics, Behavioral accounts of decision-making, The origins and consequences of political preferences

David Toniatti

Vice President, 2016-Present

Analysis Group

FIELDS OF INTEREST:

Application of microeconomics, Econometrics, Statistical methods in litigation and strategy matters


Ⅰ 引言

电视的出现对政治家与选民的沟通方式产生了深远影响,电视广告让候选人能够以更低的成本接触到更多的选民。美国2012年总统选举之前,候选人播放了超110万条电视广告,即便是非总统选举的国会选举年份中,电视广告也占据了竞选预算的40%-50%。政治大众传播的后果长期以来受到社会科学家的广泛关注。

但即便是学界长期的关注与现代民主社会政治广告的普遍存在,现有研究对政治广告的效果的理解仍不完全。部分研究认为政治广告在成熟民主国家中的影响是微乎其微的。但是为何美国选举候选人仍然选择将近乎一半的竞选预算分配给政治广告这种收效甚微的竞选方式呢?政治广告到底对美国选举结果产生了怎样的影响?

为回答上述问题,文章借助2004年、2008年以及2012年总统选举的独特详细数据,利用美国联邦通讯委员会(FCC)规制所引起的相同州内处于不同媒体市场的相邻县之间政治广告强度在空间上的外生不连续性,来研究政治广告对美国选举结果的影响。

文章主要研究结论如下:

首先,文章发现政治广告数量与总体投票份额之间无正相关关系。

第二,与总体投票份额的结果相反,文章发现政治广告对候选人的投票份额的影响是相当大的。具体而言,两党广告投放差异增加一个标准差,即平均而言,公民看到一个候选人的广告比另一个候选人多大约22个,党派差异的投票份额就会增加约半个百分点。

最后,为评估选民的组成性变化(广延边际)相比个人偏好和意见(集约边际)而言在政治广告的选举效果中发挥的作用程度,文章利用空间断点回归发现,政治广告强度在不同党派之间的差异导致了不同党派候选人投票份额的差异,即政治广告对投票份额的影响大部分可以由选民的党派组成结构来解释。

文章主要有三个贡献:

第一,文章首次使用了一个细粒度非常高的广告数据。这套数据库包含了尼尔森公司提供的历史播放数据与广告播放信息。相比以往的许多文献采用的自报告、推测的播放数据,本文所使用的数据能够精确地衡量政治广告的播放频率,使得文章能够研究真实的政治广告效果。

第二,文章利用相同州处于不同媒体市场的相邻县之间广告强度的空间不连续性来研究政治广告的影响,使得文章的因果识别具有一定的随机性,研究结果具有一定的可信度。

第三,文章的研究得出了新的发现,即政治广告的党派差异引起了不同党派投票份额的差异。此外,针对政治广告的有效性——说服率的估算,文章估算出了比现有研究小得多的结果,理论上更可信。

美国的媒体市场和政治广告

美国的媒体类型包括广播电视、有线电视、卫星电视以及新兴的数字媒体。其中,观众能否通过广播电视收看到广告取决于电视台的信号、住宅的位置以及天线的质量,有线电视的普及则消除了这些障碍,让观众可以收看任何电视台的节目。随着有线电视企业的市场力量日益增加,国会和联邦通信委员会实施了一系列政策以保护地方电视台。特别地,1992年出台的《有线电视法案》包含“必须携带”条款,即要求有线电视供应商提供的节目必须包括地方广播电视台。

为了实施该规定并明确哪些地方电视台与特定的有线电视用户相对应,联邦通信委员会采取了尼尔森对媒体市场的界定。根据尼尔森的分类系统,美国各县基于历史观看模式被分配至单独的DMA。DMA通常是以该地区内最大的大都市区为中心。例如,费城DMA包括宾夕法尼亚洲的8个周边县、新泽西州的8个县以及特拉华州的2个县。任何为这18个县之一的客户提供服务的有线电视供应商都必须在客户的有线电视套餐中包括费城当地的广播电视台。类似的条款和操作适用于卫星电视供应商。截止至2010年,全美90%的家庭订阅了有线电视或卫星电视。

从美国政治广告的投放渠道来看,地方广播电视是主要的宣传媒介。例如,2008年美国大选前的政治广告总支出为26亿美元,其中20亿美元被直接用于广播电视。虽然近年来数字媒体(如Twitter、Facebook、YouTube)发展非常迅速,但2012年通过数字媒体投放政治广告的支出占比实际上不足15%。通过地方广播网络投放的电视广告吸引了大部分资金的原因是是它们触及了关键地理区域的大量潜在选民。由于尼尔森对DMA定义的粗糙性,候选人无法依据更为精细的地理位置来购买广告,他们通常只能在DMA层面决定电视广告的投放策略。

数据和识别策略

A. 计量方法

基于DMA划分的粗糙性,作者借助空间断点来识别政治广告对选举结果的影响。作者用图1来说明该方法的基本原理。在伊利诺斯州,Fayette和Shelby是地理位置相邻且处于DMA边界的两个县,都是农村地区,根据2010年人口普查数据,Fayette县有22100个居民、家庭收入中位数为41300美元,而Shelby县有22400个居民、家庭收入中位数为44600美元。换言之,这两个县在经济社会发展方面非常相似,在政治广告投放上的差异仅仅是因为所属的DMA不同。为了确保估计结果不会受到不同州选举环境的影响,作者将边界县对限制在同一州内部的边界县对。

平均而言,边界县人口占总体DMA人口的5%。由于政治广告是在DMA水平上购买,政治广告的投放量和投放策略是DMA层面的因素决定的,因此单个边境县对其只有很小的影响。当这个前提成立时,基于以下计量模型可以推断政治广告对选举结果的因果效应:

其中,Adsc,t为c县t年的政治广告密度(在选举前60天,就DMA层面投票年龄的成年人群体而言,人均观看的广告数),αc县固定效应,μp,t边界县对的时间固定效应,Xc,t为控制变量。在数据中,总共有5924个边界县对,即有5924个县层级的自然实验。

在考虑具体的边界县对时,存在一个县有多个临近县对情况,即边界县对的数量超过了边界县数,这使得上述方程无法估计边界县对的固定效应。为了解决该问题,作者采用堆叠方式,也就是样本中特定县可以出现多次以与额外的临近县进行配对,这种方式并不影响参数估计结果。此外,参数估计的方差在州和边界县对层面上进行聚类,同时聚类也对堆叠造成的相关性进行了校正。

图1 伊利诺斯州的县与媒体市场

B. 数据来源

作者估计政治广告对选举结果的影响是针对美国2004年、2008年和2012年的总统选举活动。作者总共使用了11项来源的数据,具体见文章附录。

C. 描述性统计和识别假设的检验

各变量指标的基本统计结果见表1。

前文计量模型的前置假设是DMA边界县的政治广告密度是随机分布的,但该假设无法直接检验。为此,作者采用间接方式对其进行论证,即如果政治广告与边界县可观测特征不具有相关性,那么可以认为政治广告与边界县的不可观测特征也不具有相关性。表2结果显示,边界县可观测经济特征与政治广告密度不存在显著的相关性,即不存在证据拒绝边界县上的政治广告密度是随机分布的。

政治广告与选举结果:经验证据

本节分析政治广告对选举结果的影响,作者使用上述的边界县对估计方法对2004—2012年总统选举的数据进行检验。表III中Panel A显示,人均每多看10个广告,选民投票率就会提高约0.21个百分点(列1)。然而,在控制边界县对与年份的交互项固定效应后,这个效果就消失了(列4-列6)。这表明,在公民更有可能投票的边界地区和年份,竞选活动做了更多的广告。所以本文使用边界县对估计模型是合理的。表III中Panel B考察了“积极”和“消极”广告对选举结果的异质性影响,结果依旧稳健,即政治广告对总投票率没有显著影响。

在以上的分析中,作者潜在假定广告强度没有测量误差。但是,如果相当数量的家庭从邻近的媒体市场观看电视台,则本文的分析可能会高估广告强度。假设占比为q的家庭从邻近的媒体市场接收电视信号,则选民看到的实际广告数量为,

此时,广告强度的测量误差为,

作者通过列举两种情况的测量误差情境发现,本研究高估了政治广告对选举结果的影响。尽管如此,仍未发现政治广告对总投票率有影响,这表明政治广告对选民投票率的真实影响可能很小。

表4进一步探讨了总统广告差异对投票份额差异的影响。总统广告中的党派差异每增加1个标准差,即潜在选民多看到21个民主党候选人而不是共和党候选人的广告,则民主党候选人的得票率比共和党候选人的得票率高出约0.49-0.67个百分点(列4—列6)。由此看来,政治广告对选举结果有着不可忽视的影响。

最后,作者借助工具变量法对政治广告对选举结果的影响进行稳健检验,其工具变量为在媒体市场中,位于摇摆州的选民比例。一些选民之所以接触到更多的政治广告,是因为他们恰好居住在一个媒体市场,且该市场包含竞争激烈的摇摆州。表5显示摇摆州所占媒体市场的人口比例的确是政治广告的有力预测指标。此外,由于媒体市场边界是根据历史观看模式先验划定的,因此大多数未观察到的影响选举结果的因素与其他县是否属于竞争激烈的州之间的相关性可能性很小。

表6的Panle B报告了使用工具变量法探究政治广告对选举结果的影响,发现政治广告对总体投票率没有影响(列5-6),但党派广告差异对候选人的党派得票差异有显著影响(列8)。这一发现与前文一致。

表7进一步探究党派广告差异的异质性影响,发现自己党派的广告会增加对各自候选人的支持,而竞争对手的广告则对其不利。需要说明的是,由于选票份额是相对于全部有投票资格的人口而言的,因此没有任何系统性的原因可以解释估计结果中的明显对称性。关于政治广告对选举结果的一种合理的解释,特别是考虑到我们在总投票率没有显著影响,是政治广告的说服效果主要体现在集约边际上。也就是说,广告可能会说服那些本来就打算投票的人支持某一候选人,而非另一候选人。另一种可能的解释是,政治广告通过影响投票率在广沿边际上起作用。例如,民主党候选人的广告可能会动员民主党支持者或倾向于左翼的温和派,同时劝阻那些会选择共和党对手的选民。从整体上看,这两效应可能会相互抵消,从而解释了为什么在整体投票率上政治广告似乎没有显著影响。

V政治广告与选民的党派构成

作者利用了美国联邦通信委员会(FCC)的法规,该法规将美国县划分为不同的媒体市场,并规定了媒体公司在每个市场内的广播权利。由于政治广告通常在 DMA 级别购买,因此相邻县之间的广告曝光量可能存在外生差异。作者利用这种差异,比较了居住在 DMA 边界两侧的登记选民,以评估政治广告对选民政治构成的影响。

数据方面,作者使用了来自 48 州和哥伦比亚特区的选民注册数据,这些数据包括选民的政治倾向、投票记录和居住地址等信息。

党派广告差异:政治广告在媒体市场边界两侧导致了明显的党派广告差异。例如,民主党候选人广告数量较多的 DMA 边界一侧的选民看到的民主党候选人广告数量比共和党候选人广告数量较多的 DMA 边界一侧的选民多。

投票率差异:作者发现,登记民主党选民在广告数量较多的 DMA 边界一侧的投票率更高,而共和党选民则相反。例如,民主党选民在民主党候选人广告数量较多的 DMA 边界一侧的投票率比民主党候选人广告数量较少的 DMA 边界一侧的投票率高 5% 到 6%。

这些发现表明,政治广告可能通过改变选民的政治构成来影响选举结果。广告可能动员某些选民,也可能使其他选民丧失投票意愿,但整体而言,广告导致选民的政治构成发生变化,从而影响了选举结果。

作者使用了一个简单的模型来分解选举结果中党派差异的变化,并评估了选民构成变化的影响。该模型考虑了登记选民在投票时的党派倾向、投票率以及“其他”选民(即未注册任何主要政党或未参加任何政党初选的选民)的投票率。

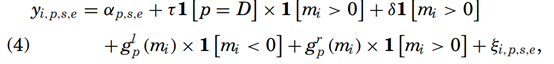
选民 i是一个民主党(其中 p∈{D,R}表示民主党或共和党)的注册支持者,并且居住在靠近边界段 s附近。指标变量yi,p,s,e表示在选举 e中,这位选民是否去投票。函数 glp()和 grp()是灵活指定的、针对各党派的多项式,并且允许它们在门槛两侧有所不同。为了控制未观测到的空间异质性,我们将每个 DMA(指定市场区域)边界划分为长度不超过10公里的段,并为每个党派和选举设置特定的固定效应 αp,s,e。研究的核心参数是τ。

Panel A中的数据是估计媒体市场边界上投票率的党派差异不连续性,即方程(4)中的 τ 。数值越大,表示相对于注册共和党人而言,注册民主党人的投票率增加。

Panel B展示了党派差异在政治广告上的 Wald 估计值,即党派差异对投票率差异的影响(参见方程(3))。所有 Wald 估计值都经过调整,使得系数反映每人10次广告曝光对投票率的影响。

为进一步了解选民党派结构的变化在政治广告对选票份额的影响中产生多大作用,作者构建了一个理论方程来解释,具体形式如下:

D和R分别为民主党和共和党,VD、RD为两个党派候选人的投票份额,并假定已注册的党派选民为自己党派候选人投票的概率π大于0.5。t代表党派支持者的投票率,s为人口份额,ω为“其他人”给民主党投票的可能性。值得注意的是,在媒体市场的边界,SD≈SR,该方程进行如下改写:

方程右边第一行第一项表示党派之间投票率变化的影响,第二项为非党派成员的投票率,第二行为投票偏好的变化,第三行为偏好和投票率之间的相互作用。为了估计选民党派结构变化的重要性,假设政治广告对投票偏好和信念不会产生影响,那么非附属选民的投票率就不会发生变化,所以方程可改写为:

将方程右边刻画成π的函数,可得到下图:

可供参考的证据表明π可能超过0.8,如果该结果正确的话,政治广告对投票率影响的绝大部分可由选民党派结构的变化来解释。

随后作者进行了稳健性测试,文章表格中的证据表明,作者的RD估计对控制选民的可观察特征和与非总统竞选相关的广告是稳健的。对于广告强度测量误差的影响,文章指出,2005年,美国联邦通讯委员会( FCC )发布了对美国所有媒体市场的最新综合评估报告。作者注意到,较小的样本量会导致标准误差,使任何定量比较都具有高度的推测性。

最后,文章的RD结果表明,政治广告导致了选民党派构成的变化,这种变化在总体上是相互抵消的。显然,作者并不认为选民党派构成的变化总会完全抵消。然而,在有两个支持者人数大致相同的候选人的环境中,如果政治广告同时具有动员和解散作用,特别是当这两个广告的比例相似时,人们预期广告所产生的净影响

VI讨论

为了更好地理解政治广告对投票份额的影响,作者参考了DellaVigna和Kaplan(2007)的做法,重新计算了说服率。直观上,说服率衡量的是在接触特定信息后改变行为的人数比例。由于不同的研究使用不同的变量,并且在不同背景下,容易被说服的人的比例也不同,因此以下方式重新调整效应大小使其更具可比性。重新计算说服率的公式为:

不论是单个广告位还是候选人所有广告的组合,计算出的说服率都比文献中报告劝说率小。因此,作者的研究结果与理论预测一致,即只要记者比竞选活动更少存在偏见,党派广告的效果应该小于倾向性新闻的效果。

然而,考虑到大量观众至少会看到一些电视上的政治广告,可能更相关的指标是广告的总体影响。例如,在2008年总统大选前的60天内,平均每个投票年龄的公民看到了约45个支持奥巴马的广告,和接近30个支持麦凯恩的广告。据美国人口普查局统计,2008年约有2.06亿公民有资格投票,这意味着政治广告影响了约220万人的投票决定。

尽管如此,民主党和共和党广告的影响可能也会相互抵消。此外,在2008年大选前,奥巴马和麦凯恩在电视广告上的总支出估计约为3.66亿美元,这意味着每劝说一个选民的成本约为170美元。

VII结论

在本文中,作者研究了政治广告对选举结果的影响。作者的实证策略利用了FCC法规,这些法规导致了媒体市场边界上广告印象数量的变动。通过使用美国选民的县级数据和个人投票记录,研究发现广告通过改变选民的党派构成对选举产生影响。注册的党员更可能投票给自己党派的候选人而非竞争对手,这些构成上的变化对选举结果产生了显著影响。

然而,研究并未发现广告对整体投票率有影响。在整体上,政治广告的动员和反动员效应相互抵消。这可能解释了为何大量以往研究只发现了微弱甚至没有效果的原因。更一般地说,作者的发现帮助解释了为何现代竞选活动即使在没有明显改变选民参与度和个人对候选人看法的情况下,仍会大量投放广告。尽管政治广告不会对偏好或信仰产生持久影响。本文的证据表明它通过吸引“正确的”选民投票,增加了候选人的得票率。


潮人论坛 学生工作网站

潮人论坛-潮人论坛官方最新禁忌入口页